Dy Dx E Y

Dy Dx E Y Differential Equation Mathematics Stack Exchange

Dy Dx E Y Differential Equation Mathematics Stack Exchange

What Is The Solution Of The Differential Equation Dy Dx 1 E X Y Quora

What Is The Solution Of The Differential Equation Dy Dx 1 E X Y Quora

Ex 9 4 23 General Solution Of Dy Dx E X Y Is A E X E Y C

Ex 9 4 23 General Solution Of Dy Dx E X Y Is A E X E Y C

If Ex Ey Ex Y Then Dy Dx Quora

If Ex Ey Ex Y Then Dy Dx Quora

The Solution Of The Differential Equation Dy Dx E X Y X 2e Y Is Youtube

The Solution Of The Differential Equation Dy Dx E X Y X 2e Y Is Youtube

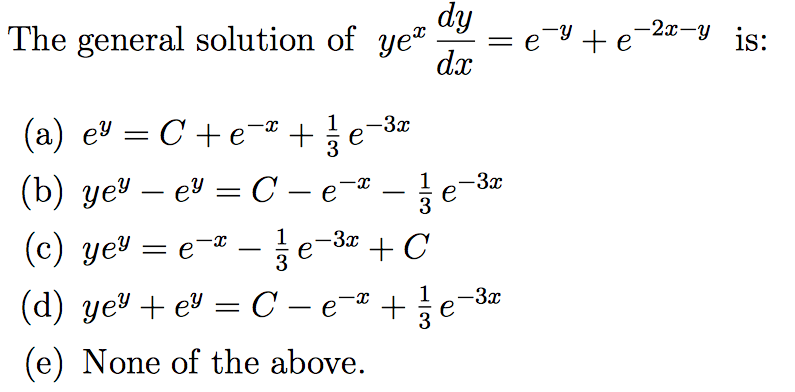
Solved The General Solution Of Yex Dy Dx E Y E 2x Y I Chegg Com

Solved The General Solution Of Yex Dy Dx E Y E 2x Y I Chegg Com

Solved The General Solution Of Yex Dy Dx E Y E 2x Y I Chegg Com

Y ln c e x or ln 1 c e x.

Dy dx e y. The differential equation of the form is given as. Tap for more steps. We can therefore separate the variables to give. E y e x c.

Int 1 y 2 1 1 y 2 dy int dx. To apply the chain rule set as. Differentiate both sides of the equation. Advanced math solutions ordinary differential equations calculator exact differential equations.

Int 1 e y dy int e x dx. Differentiate the left side of the equation. Check how easy it is and learn it for the future. Simple and best practice solution for x y dx x y dy 0 equation.

Y ln e x c or ln 1 c e x dy dx e x y. Our solution is simple and easy to understand so don t hesitate to use it as a solution of your homework. Among them 3 fall ill and did not come of th. Int e y dy int e x dx integrating gives us.

Math x y e x y math math ln x y x y math math y ln x x y math math y ln x 1 x math math y dfrac x ln x 1 math math dfrac mathrm dy. Dy dx 1 1 y 2 which is a first order separable ordinary differential equation so we can rearrange and separate the variables. In this tutorial we shall evaluate the simple differential equation of the form frac dy dx e left x y right using the method of separating the variables. Let y ϕ x.

A x for x 0 method 1. Y ln e x c. We will arrive at the same result from first principle using the basic definition of dy dx as a limit. Differentiate using the chain rule which states that is where and.

Differentiate using the chain rule which states that is where and. Tap for more steps. 1 x a x for x 0 proved method 2. Y a log x dy dx d dx a log x a d dx log x a.

Differentiate both sides of the equation. Solution for solve dy dx 2xy x 2 y 2 q. In the previous posts we have covered three types of ordinary differential equations ode. Differentiate the left side of the equation.

E y e x c. To apply the chain rule set as. Tap for more steps. Dy dx 1 y 2 y 2 int y 2 1 y 2 dy int dx we can manipulate the lhs integral.

A group of 150 tourists planned to visit east africa. Y arctan y x c we have. Tap for more steps.

Solved Find The Solutions To Dy Dx E X Y For Which Y Chegg Com

Solved Find The Solutions To Dy Dx E X Y For Which Y Chegg Com

What Is The Solution Of The Differential Equation Dy Dx 1 E X Y Quora

What Is The Solution Of The Differential Equation Dy Dx 1 E X Y Quora

Derivatives Ex Ln X Ppt Download

Derivatives Ex Ln X Ppt Download

Dy Dx Ex Y Ex Ey Integrate

Dy Dx Ex Y Ex Ey Integrate

Ex 5 5 15 Find Dy Dx Of Xy E X Y Class 12 Ex 5 5

Ex 5 5 15 Find Dy Dx Of Xy E X Y Class 12 Ex 5 5

Solved The General Solution Of Yex Dy Dx E Y E 2x Y Is Chegg Com

Solved The General Solution Of Yex Dy Dx E Y E 2x Y Is Chegg Com

The Solution Of Dy Dx Y E X Y 0 0 Is Studyrankersonline

The Solution Of Dy Dx Y E X Y 0 0 Is Studyrankersonline

Drill Find Dy Dx Y X 3 Sin 2x Y E 2x Ln 3x 1 Y Tan 1 2x Product Rule X 3 2cos 2x 3x 2 Sin

Drill Find Dy Dx Y X 3 Sin 2x Y E 2x Ln 3x 1 Y Tan 1 2x Product Rule X 3 2cos 2x 3x 2 Sin

What Is Dy Dx If E Xy 4xy 0 Quora

What Is Dy Dx If E Xy 4xy 0 Quora

Derivatives Of Ppt Download

Derivatives Of Ppt Download

Solved E X Y Dy Dx E Y E 2x Y Chegg Com

Solved E X Y Dy Dx E Y E 2x Y Chegg Com

E X Y Dy Dx E Y E 2x Y Youtube

E X Y Dy Dx E Y E 2x Y Youtube

Differential Equations Solved Examples Solve The Initial Value Problem 2x E Y Dx Xe Y Dy 0 Y 1 0

Differential Equations Solved Examples Solve The Initial Value Problem 2x E Y Dx Xe Y Dy 0 Y 1 0

Differentiation Of Exponential And Logarithmic Functions

Differentiation Of Exponential And Logarithmic Functions

Source : pinterest.com