Dy Dx E

Dy Dx E Y Differential Equation Mathematics Stack Exchange

Dy Dx E Y Differential Equation Mathematics Stack Exchange

What Is Dy Dx If E Xy 4xy 0 Quora

What Is Dy Dx If E Xy 4xy 0 Quora

Ex 9 4 23 General Solution Of Dy Dx E X Y Is A E X E Y C

Ex 9 4 23 General Solution Of Dy Dx E X Y Is A E X E Y C

Solved Find The Solutions To Dy Dx E X Y For Which Y Chegg Com

Solved Find The Solutions To Dy Dx E X Y For Which Y Chegg Com

Differential Equations Solved Examples Solve The Separable Differential Equation Dy Dx E 3x 4y

Differential Equations Solved Examples Solve The Separable Differential Equation Dy Dx E 3x 4y

The Solution Of The Differential Equation Dy Dx E X Y X 2e Y Is Youtube

The Solution Of The Differential Equation Dy Dx E X Y X 2e Y Is Youtube

The Solution Of The Differential Equation Dy Dx E X Y X 2e Y Is Youtube

How To Solve The Differential Equation Dy Dx E 3x 2y Quora

How To Solve The Differential Equation Dy Dx E 3x 2y Quora

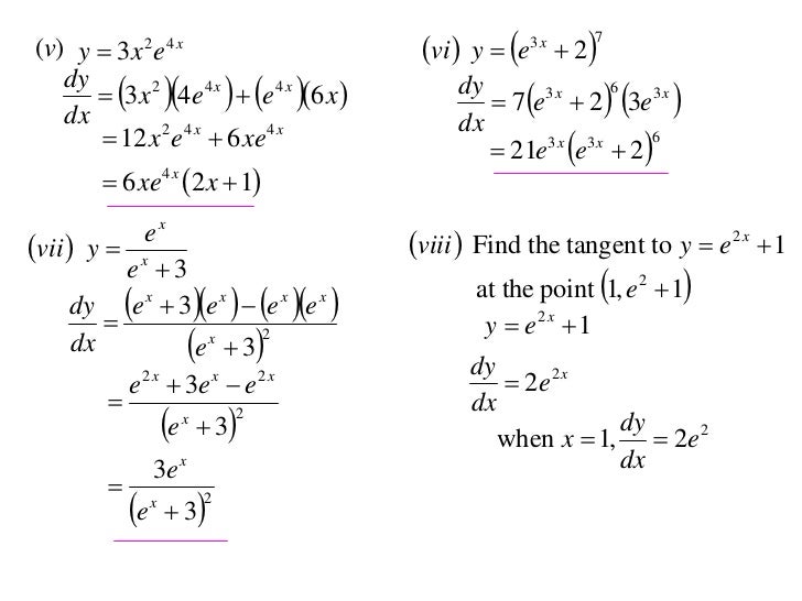
Drill Find Dy Dx Y X 3 Sin 2x Y E 2x Ln 3x 1 Y Tan 1 2x Product Rule X 3 2cos 2x 3x 2 Sin

Drill Find Dy Dx Y X 3 Sin 2x Y E 2x Ln 3x 1 Y Tan 1 2x Product Rule X 3 2cos 2x 3x 2 Sin

Solved The General Solution Of Dy Dx E X Y 1 E X Is A Chegg Com

Solved The General Solution Of Dy Dx E X Y 1 E X Is A Chegg Com

Derivatives Ex Ln X Ppt Download

Derivatives Ex Ln X Ppt Download

Stationary Inflection Point S When Frac Dy Dx E 2x 1 2x Mathematics Stack Exchange

Stationary Inflection Point S When Frac Dy Dx E 2x 1 2x Mathematics Stack Exchange

Lecture 05 Differentiation 1

Lecture 05 Differentiation 1

Using Implicit Differentiation For Good Inverse Functions

Using Implicit Differentiation For Good Inverse Functions

Misc 18 General Solution Ex Dy Y Ex 2x Dx 0 Miscellaneous

Misc 18 General Solution Ex Dy Y Ex 2x Dx 0 Miscellaneous

If Ex Ey Ex Y Then Dy Dx Quora

If Ex Ey Ex Y Then Dy Dx Quora

How Do You Find Dy Dx Using The Quotient Rule For E 1 2x 2x 3 Socratic

How Do You Find Dy Dx Using The Quotient Rule For E 1 2x 2x 3 Socratic

Solve The Differential Equation Dy Dx 3y Exp 2x Youtube

Solve The Differential Equation Dy Dx 3y Exp 2x Youtube

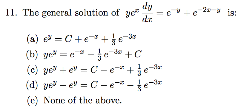
Solved The General Solution Of Yex Dy Dx E Y E 2x Y I Chegg Com

Solved The General Solution Of Yex Dy Dx E Y E 2x Y I Chegg Com

12x1 T02 01 Differentiating Exponentials

12x1 T02 01 Differentiating Exponentials

Derivatives Of Ppt Download

Derivatives Of Ppt Download

Source : pinterest.com