Solved Solve Differential Equation Dy Dx Y E Xy 2 Chegg Com

Solved Solve Differential Equation Dy Dx Y E Xy 2 Chegg Com

Solved Solve The Given Differential Equation By Using An Chegg Com

Solved Solve The Given Differential Equation By Using An Chegg Com

Bernoulli Differential Equation Ode Youtube

Bernoulli Differential Equation Ode Youtube

Solved Consider The Bernoulli S Equation Dy Dx Y E X Chegg Com

Solved Consider The Bernoulli S Equation Dy Dx Y E X Chegg Com

What Is The Solution Of The Differential Equation Dy Dx 1 E X Y Quora

What Is The Solution Of The Differential Equation Dy Dx 1 E X Y Quora

What Is The Solution Of Dy Dx 2y E X X Y 0 1 Quora

What Is The Solution Of Dy Dx 2y E X X Y 0 1 Quora

What Is The Solution Of Dy Dx 2y E X X Y 0 1 Quora

Ex 5 5 15 Find Dy Dx Of Xy E X Y Class 12 Ex 5 5

Ex 5 5 15 Find Dy Dx Of Xy E X Y Class 12 Ex 5 5

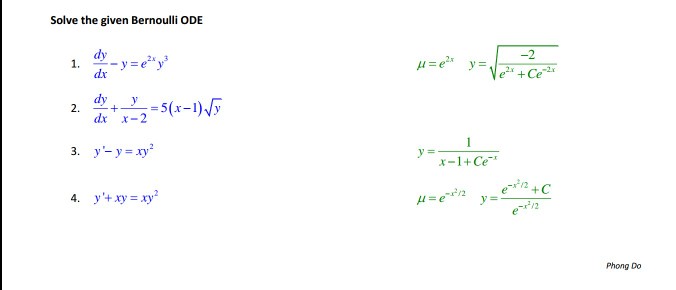
Solved Solve The Given Bernoulli Ode Dy Dx Y E 2 Y 3 Chegg Com

Solved Solve The Given Bernoulli Ode Dy Dx Y E 2 Y 3 Chegg Com

Ex 9 4 23 General Solution Of Dy Dx E X Y Is A E X E Y C

Ex 9 4 23 General Solution Of Dy Dx E X Y Is A E X E Y C

The Solution Of The Differential Equation Dy Dx E X Y X 2e Y Is Youtube

The Solution Of The Differential Equation Dy Dx E X Y X 2e Y Is Youtube

Solved Solve Dy Dx X Y 1 2 Solve Dy Dx Y Exy Chegg Com

Solved Solve Dy Dx X Y 1 2 Solve Dy Dx Y Exy Chegg Com

Solve X Dy Dx Y X 1 Ex Brainly In

Solve X Dy Dx Y X 1 Ex Brainly In

Solved Solve The Differential Equations In Exercises 1 14 Chegg Com

Solved Solve The Differential Equations In Exercises 1 14 Chegg Com

If Xy Xe Y Ye X X 2 Find Dy Dx

If Xy Xe Y Ye X X 2 Find Dy Dx

The Solution Of Dy Dx Y E X Y 0 0 Is Studyrankersonline

The Solution Of Dy Dx Y E X Y 0 0 Is Studyrankersonline

If X Y E X Y What Is Dy Dx Quora

If X Y E X Y What Is Dy Dx Quora

Ex 5 5 15 Find Dy Dx Of Xy E X Y Class 12 Ex 5 5

Ex 5 5 15 Find Dy Dx Of Xy E X Y Class 12 Ex 5 5

Given X Y E X Y Find Dfrac Dy Dx Mathematics Stack Exchange

Given X Y E X Y Find Dfrac Dy Dx Mathematics Stack Exchange

If Xy E X Y Then Prove That Dy Dx Log X 1 Log X 2 Sarthaks Econnect Largest Online Education Community

If Xy E X Y Then Prove That Dy Dx Log X 1 Log X 2 Sarthaks Econnect Largest Online Education Community

X Y E X Y Prove That Dy Dx Logx 1 Logx 2 Brainly In

X Y E X Y Prove That Dy Dx Logx 1 Logx 2 Brainly In

Source : pinterest.com